Question
Electrical Engineering Challenge #4
Hi,

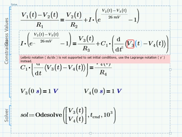
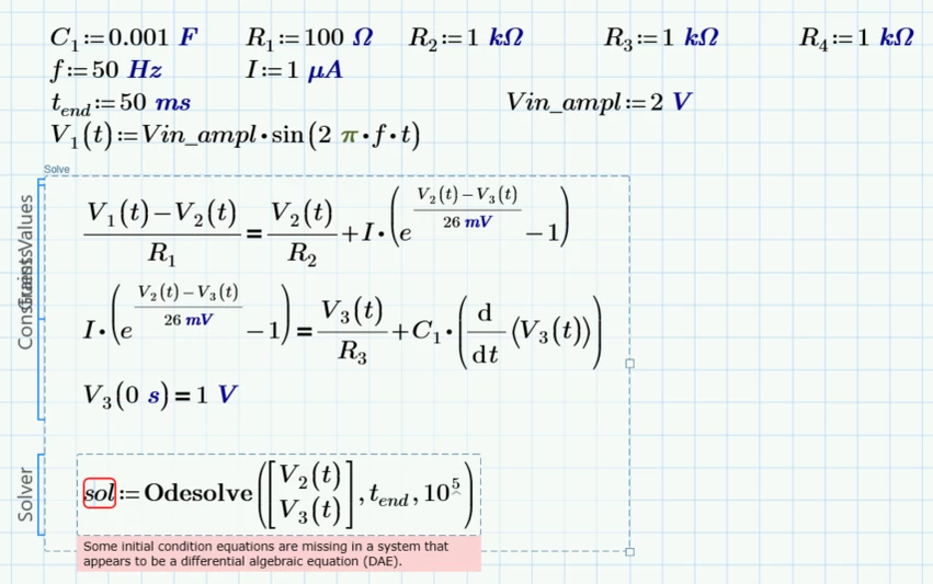
Assume if needed this type of eq for current through diode D1:

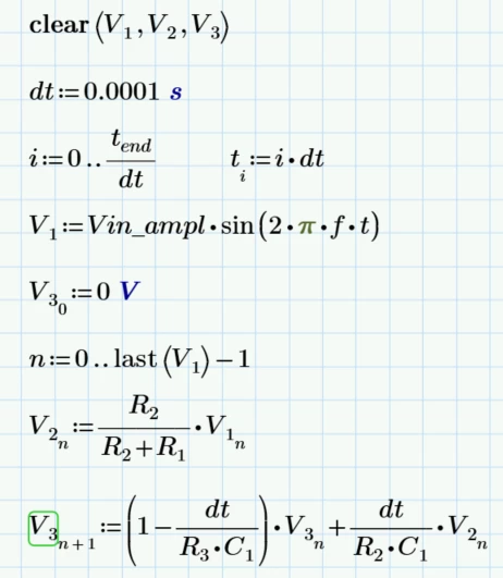
Assume Initial voltage of C1 = 0V
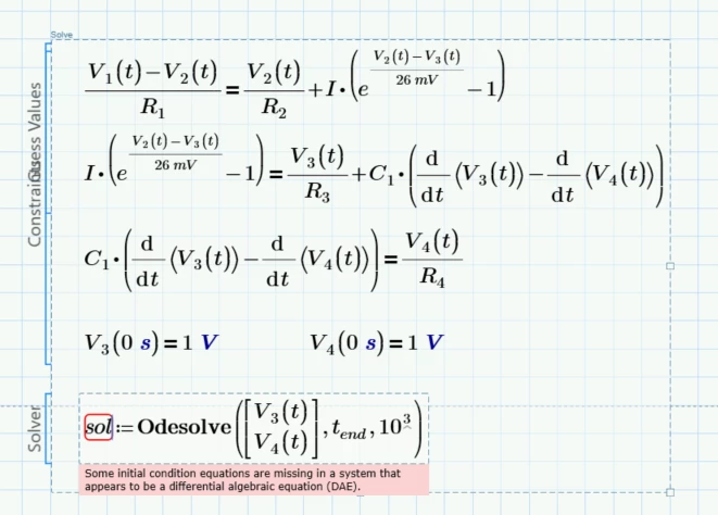
Hi,

Assume if needed this type of eq for current through diode D1:

Assume Initial voltage of C1 = 0V
Enter your E-mail address. We'll send you an e-mail with instructions to reset your password.