Solved
Electrical Engineering Challenge #8
"Theory and Problems of Electric Circuits", 4th edition. McGraw-Hill Companies is also very good text I found in Academia.edu.
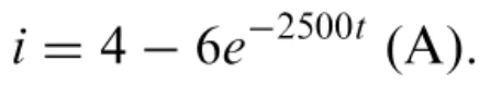
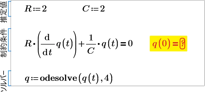
In chapter 7 it shows the impulse response of RL circuit.

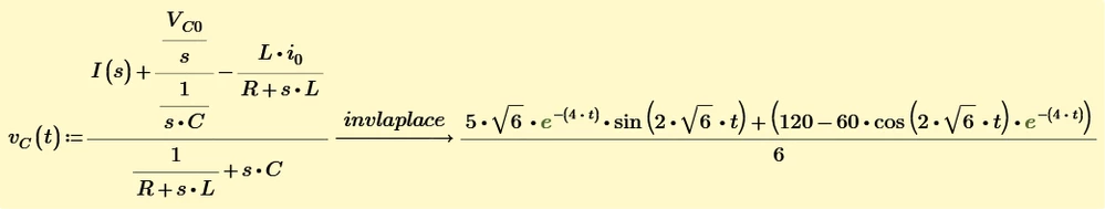
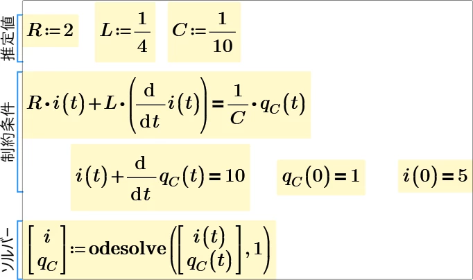
Mathcad Prime 10 shows it,


I also stand with Mathcad side. Another is unique problem and answer of this book.

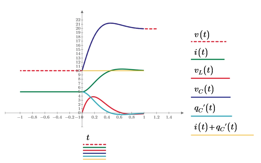
My Mathcad Prime sheet shows the answer clockwise current by blue line. Red plot is above answer of clockwise direction. Challenge it.





