Solved
Element wise multiplication of a 4x1 matrix by a 4x4 element matrix
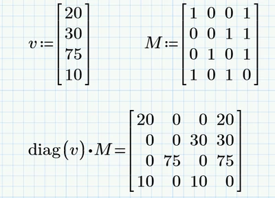
I am trying to achieve something like the below (the equal sign is text only). I'm not even sure if this is mathematically possible however, and may require some manipulation to achieve?

Here is what it looks like when I try to do it

Appreciate any possible help with this, it's been a long while since I studied matrices!
I am on Prime 9.0 if that makes any difference.


