Engineering Mechanics with Mathcad Prime
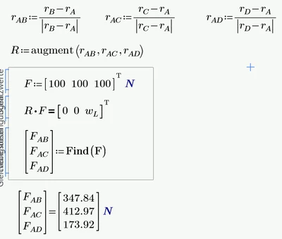
I solved a statics problem with Mathcad Prime 10 like this:

Can any member suggest an elegant method to do this?
I solved a statics problem with Mathcad Prime 10 like this:

Can any member suggest an elegant method to do this?
Looks fine for me, but for future questions please also attach your worksheet as well!
To address individual elements of a (column) vector you can omit the second (column) index - saves some typing.
As you use the unit vectors in your solve block throughout it may be more efficient to define r.AB, etc. as unit vectors right ahead rather than having divide these vectors every time you use them from anew by their magnitude.
Furthermore instead of accessing the individual elements of matrices and vectors manually and defining equations for them, its more efficient to use matrix/vector arithmetic if ever possible.
That said one way to simplify your calculations could be this:

(Transpose operator is just used to save vertical space)
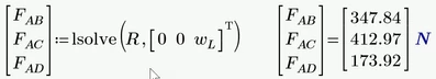
Of course you could solve the linear system directly without using a solve block by using the inverse matrix

or by using the "lsolve" function

Prime 10 sheet attached
Enter your E-mail address. We'll send you an e-mail with instructions to reset your password.