8-Gravel
January 28, 2026
Solved
Entering and Retrieving a Vector from an IF Statement
- January 28, 2026
- 1 reply
- 263 views
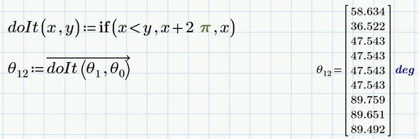
Hello, I am trying to use an IF Statement to check one vector against another. I would like to return the same value into a vector or an altered value depending on if the one vector's value at a row is above 0 degrees. I have tried replacing Theta_0 with the value of 0 deg. Either way I am getting an error that says the value must be a scalar. Could someone help me figure out how to make this IF Statement function properly?

V/r,
Devin






