Question
Error in a function of a root function PRIME10
- June 20, 2024
- 1 reply
- 1328 views
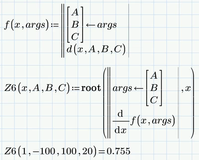
When using the root function of Mathcad with more than two parameters, an error occurs. It seems to be a bug. Does anyone have a solution? A simplified example of this issue is printed and attached as an mcdx file. In the original Mathcad sheet where I found this error, this function is used in an advanced routine with parameters in arrays and with dimensions. This function worked fine in previous versions of Mathcad.


