Solved
Error in evaluating an inverse Matrix
- September 8, 2017
- 2 replies
- 3725 views
Hi,
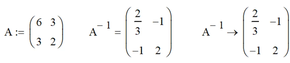
When evaluating the inverse Matrix of A, i got two different results in MP4 using the symbolical evaluation and the evaluation with "=".
Creating the same inverse Matrix in MC15 does give the same correct results by evaluating the same way like above.
Has somebody the same experience when calculating Matrices in Prime?
See attachement please.


