1-Visitor
March 9, 2020
Question
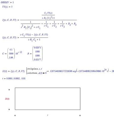
Error in plotting invlaplace
- March 9, 2020
- 3 replies
- 2902 views
Hi,
I encountered an error when I tried to plot a graph including arguments (t and Δ(t)). The error says:This function has the form:f(f(Unitless)->Unitless)->Unitless, but must have the form:f(any1)->any2. I have attached the file. Can anyone help me out? Thanks a lot.

