15-Moonstone
April 1, 2021
Question
Error Symbolic
- April 1, 2021
- 2 replies
- 10501 views
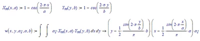
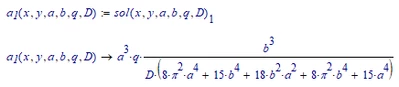
Dear all
I try solve as symbolic but error have another way to solve that problem ?
and I don't how show solution
help me
Thank u

Enter your E-mail address. We'll send you an e-mail with instructions to reset your password.