Solved
Explicited expression does not match when saved to a varialble name
- December 1, 2020
- 2 replies
- 3664 views
Hi
Say I have an expression:
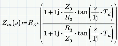
Z(s):= c(s)[a(s)+b(s)]; where s is a variable
When I evaluated them, they are not the same.
Z(s)=
The results is not the same as:
c(s)[a(s)+b(s)]=
Please see attached for a better explanation. The bottom right row result is not the same as the bottom left result. Bottom right row is correct
I think it has to do with some kind of matrix errors
Thanks
Rdliquid


