Skip to main content
20-Turquoise
April 14, 2021
Solved

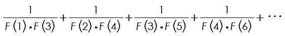
Fibonacci number and a proof of ...?

  • April 14, 2021
  • 2 replies
  • 2132 views

Hello Everyone.

F #.PNG

Thanks in advance for your time and help.

Best Regards.

Best answer by ttokoro

image.pngimage.pngimage.pngimage.png

2 replies

15-Moonstone
April 16, 2021

I have been working on separate project, this may shed some light on what you are looking for.  The work was done in Prime 6. 

 

Cheers

ttokoro
21-Topaz I
ttokoro21-Topaz IAnswer
21-Topaz I
April 18, 2021

image.pngimage.pngimage.pngimage.png

t.t.
lvl10720-TurquoiseAuthor
20-Turquoise
April 18, 2021

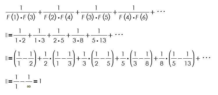
I got it, Ttokoro. I understand your proof as the following:Proof 1.PNGProof 2.PNG

Thanks again for time and help.

Best Regards.