Solved
Fill Surface the Curve ?
- March 24, 2025
- 1 reply
- 1832 views
Hello Everyone,
From:
How to Fill Surface the Blue Curve ?
Thanks in advance for your time and help.
Regards.
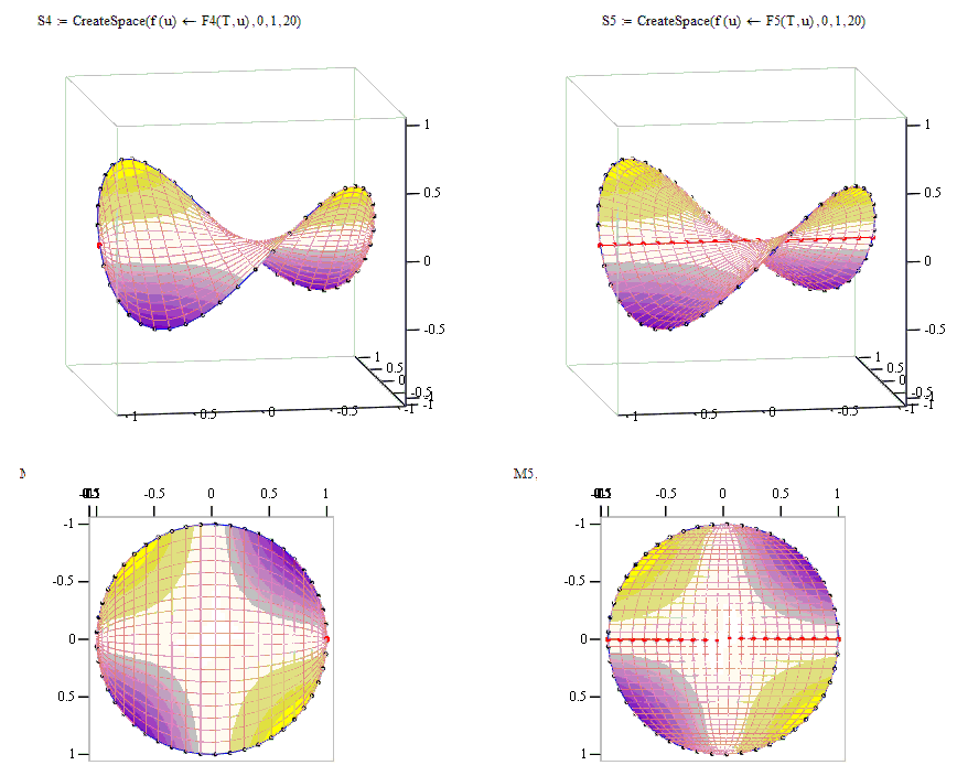
You can do the same thing by showing the parameter lines for constant t-values. These are straight lines.
So we now clearly recognise the two sets of straight lines on this HP surface (hyperbolic paraboloid), which is therefore a two-fold ruled surface.

BTW. the equation of this surface in kartesian coordinates is z(x,y):=x*y.
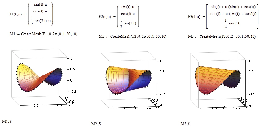
This said you could also parametrise this surface that way:

But, at the risk of repeating myself, this HP surface is just one of an infinite number of possible surfaces... 😉
Here is a last one, a cone:

Enter your E-mail address. We'll send you an e-mail with instructions to reset your password.