21-Topaz I
April 5, 2024
Solved
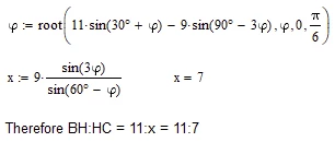
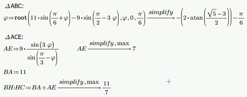
Find BH:HC
- April 5, 2024
- 3 replies
- 6354 views
Guess there is an easier, elementary way to come up with 11:7, right?
Haven't found it yet, though.

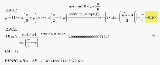
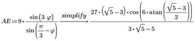
EDIT: Here a little more explanations using a drawing and calculation done in Prime:

We now use the law of sine in triangles twice to calculate the length AE:

Prime 9 sheet attached
Enter your E-mail address. We'll send you an e-mail with instructions to reset your password.