Solved
Find minima and maxima of a function
- April 8, 2022
- 2 replies
- 4310 views
Hello all,
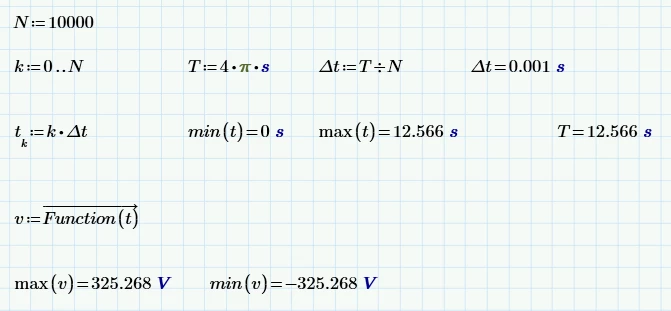
as a simple example I use a sinus function where I want to find the absolute minimum and absolute maximum.
If the function will be more complicated then the local extrema are not interesting currently. I am looking for the absolute values.
To be honest I donΒ΄t want to make a derivation d/dt and find the corresponding times via solve block.
I would like to use some kind of integrated function.
Unfortunately "max(vector)" and "min(vector)" does not work. My function f(txx) seems to be not an array ... Hm.
Also I have found in the F1 help menu a function for local minima and local maxima. I understand that it compares the array elements but it also doesnt help.
Can you help please? My sheet is attached. Also here the screenshot:




