Solved
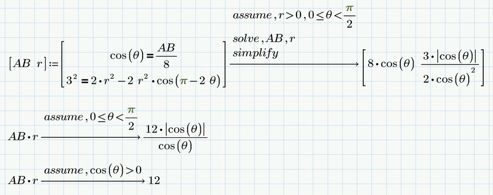
Find the area of rectangular ABCD. Green line shows half of a circle.

Green shows circle of half.

Green shows circle of half.
My solution attached; though, as I only have Prime Express which doesn't have symbolics, I did it "by hand".
Be nice to see a solution in which Prime does the solving!
Alan
Enter your E-mail address. We'll send you an e-mail with instructions to reset your password.