21-Topaz I
September 26, 2022
Solved
Find the minimum length, l, of role paper required.
- September 26, 2022
- 1 reply
- 3191 views
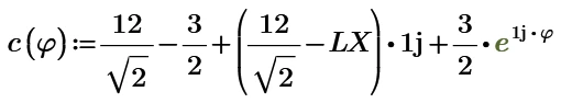
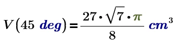
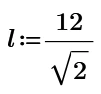
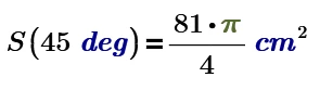
Making one cone with cap out of a role paper of 12 cm in width. Cone has θ in center angle. Cap and cone have largest areas and each with one piece.
Find the minimum length, l(θ), of role paper required.
If θ=90deg, then l=15 cm is the answer.



