1-Visitor
February 11, 2021
Solved
Finding symbolic solution for 18 unknowns in Prime 3.1
- February 11, 2021
- 5 replies
- 3073 views
Hello, dear Mathcad community!
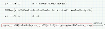
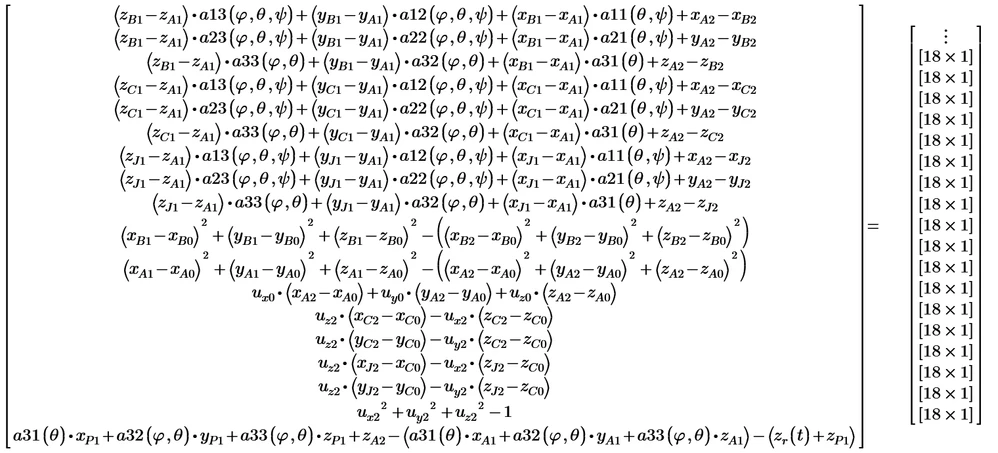
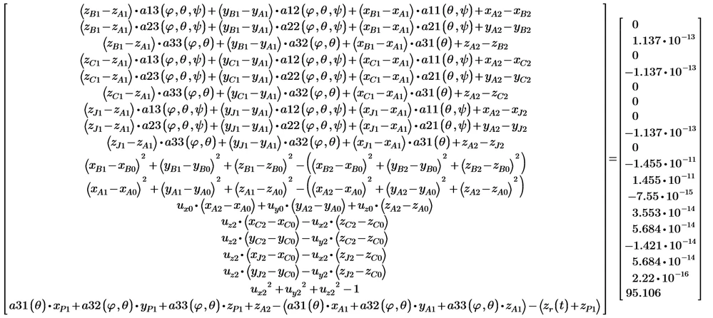
I am working with 18 equations and I need to get the result of 18 unknowns symbolically.
I have searched through the PTC community and tutorials, but Mathcad is telling me about the error with undefined parameter in the function. Can you please help to figure that out? And is it possible to solve such many equations symbolically in Prime 3.1?




