Skip to main content
10-Marble
July 5, 2023
Solved

Finding the current equation, using system of equation - Mathcad 9.0

  • July 5, 2023
  • 2 replies
  • 4887 views

MW_10727886_0-1688546369947.png

Hi
I am using Mathcad 9.0. I want to find the current I1 and put the value into the second equation so that I can represent the equation in I=U/Z from. But I can do it manually and not in Mathcad. 

I have attached my mathcad file as well as the picture, how I want to express my model.

Please provide your valuable time!

Regards,
Waqas

 

 

 

 

Best answer by ttokoro

image.pngimage.pngimage.png

2 replies

ttokoro
21-Topaz I
21-Topaz I
July 6, 2023

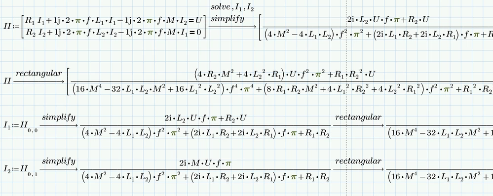
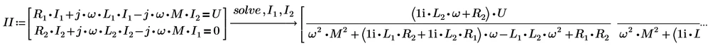
R1*I1 and R2*I2, * is required.image.png

 

image.pngimage.pngimage.png

t.t.
10-Marble
July 6, 2023

Thanks for looking into it. I have rectified the error.

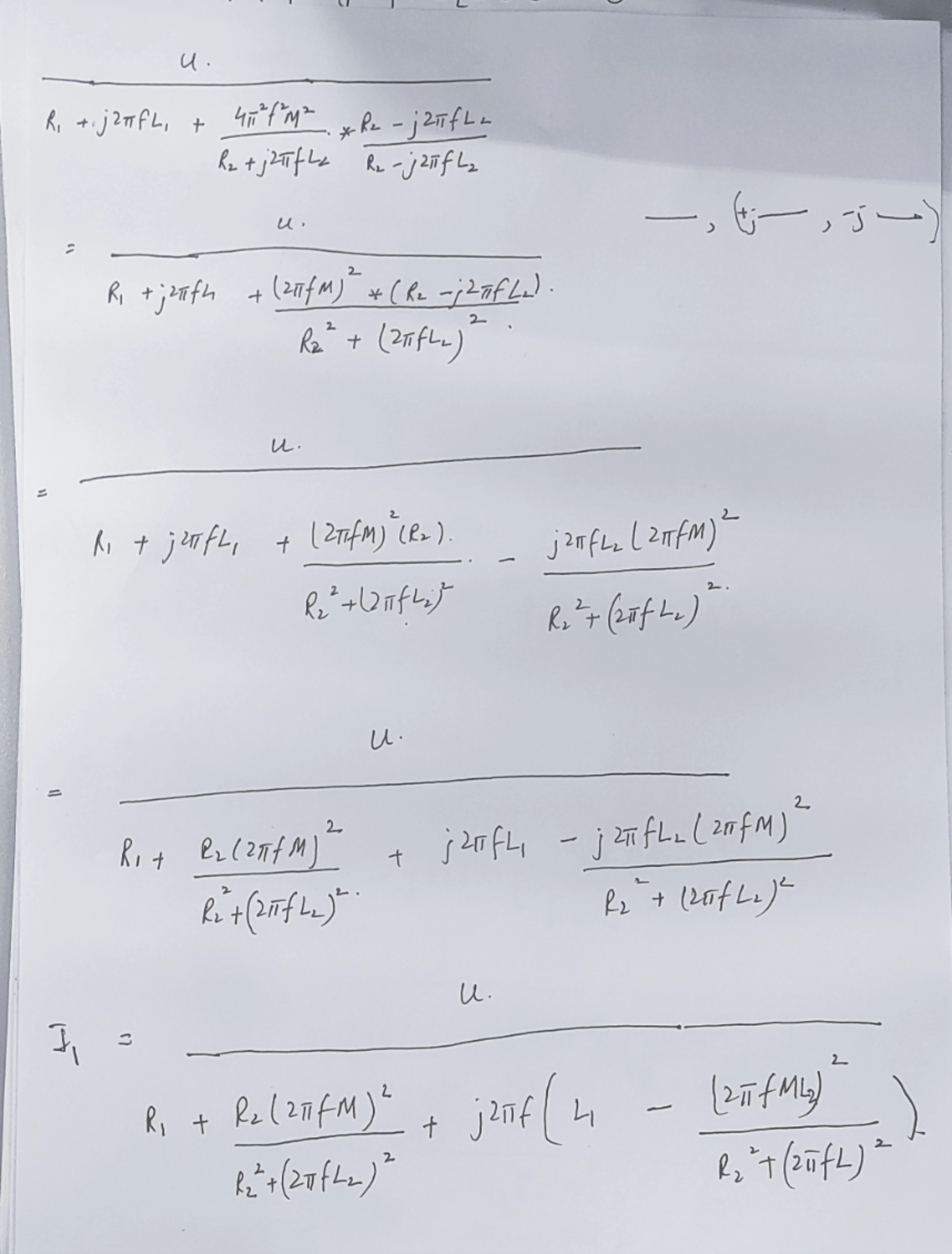
I have solved my problem manually, but I want to solve it using Mathcad. I have attached the picture of my manual calculation. The file is named as "a.jpg".  I want to get a simplified value of I1 in the form of I1=U/Z. just like in the picture I have inserted along with the message.

Best,
Waqas

MW_10727886_0-1688624963522.png

 

25-Diamond I
July 6, 2023

You have to type 1j (or 1i) for the imaginary unit - without any space or multiplication in between!

Unfortunately unlike in good old real Mathcad, the leading "1" is not suppressed when displaying the result.

You can set the math formatting for the whole sheet to display 1j instead of 1i,  but the symbolics isn't integrated good enough in Prime and it ignores that setting and always shows just 1i.

You may define j:=1j at the top of the sheet so you can simply type j instead of 1j, but when evaluating expression symbolically you still will see 1i

 

Furthermore you have to place a multiplication character between R1 and I1 and also between R2 and I2. Either an explicit one (*)or and implicit one (Ctrl-U).

 

Werner_E_0-1688619152722.png

 

 

10-Marble
July 6, 2023

Dear Werner,

Thanks for looking into it. I have rectified the error.

I have solved my problem manually, but I want to solve it using Mathcad. I have attached the picture of my manual calculation. The file is named as "a.jpg".  I want to get a simplified value of I1 in the form of I1=U/Z. just like in the picture I have inserted along with the message.

Best,
Waqas


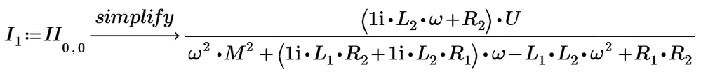
MW_10727886_1-1688625021582.png

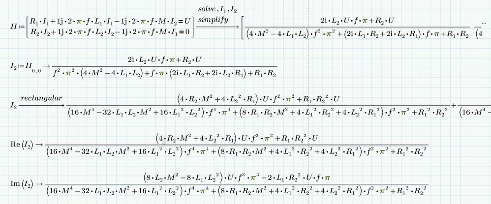
MW_10727886_2-1688625089643.png

 

 

25-Diamond I
July 6, 2023

Not sure that I understand.,

If you "simplify"/expand your manually derived result, don't you get the same expression for I2 as Prime does?

Werner_E_0-1688628602504.png