1-Visitor
June 7, 2013
Question
Fitting Hyperbolic Data
- June 7, 2013
- 0 replies
- 5854 views
By Mathcad Staff

About this worksheet:
- Uses PTC Mathcad solvers to fit a hyperbolic function to collected data
- Applicable for fitting hyperbolic functions and can be applied to any sort of function
- Uses the "minimize" solver function, hyperbolic function, plots, fitted curve, residual error, hyperbola, "miner" solver function
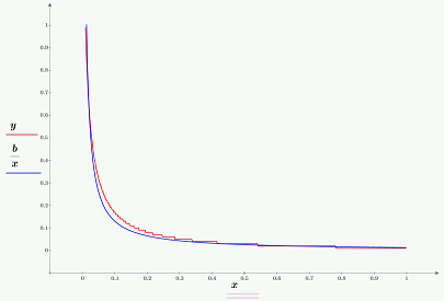
This worksheet using PTC Mathcad helps you to fit a hyperbolic function to collected data. This worksheet shows you how you can use the "minimize" solver function to fit a simple hyperbolic function to some data. You can plot the fitted curve with the data and calculate the residual error. You can also apply a more general form for a hyperbola. You can use the "Minerr" solver function to solve for the coefficients in the function.
This worksheet provides you with notation, data, graphs, equations and solutions as an example to aid you in your own computations.
Download and explore this worksheet yourself! You can download a free lifetime copy of PTC Mathcad Express and get 30 days of full functionality.

