Solved
Formula for matrix production
- January 24, 2025
- 2 replies
- 1233 views
Hi there!
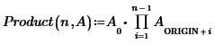
I have an issue with the definition of the Prime user function.
There are several matrices 2*2 in the general case ( the exact matrix number oscillates from 1 to 4-5-6).
Each matrix has a lowercase index (connected to the data from the parameters table). I want to define user function to make matrix production. Due to my modest coding skills, I have no results to describe as appropriate. The relevant search on the forum gave some material but didn't seem to help.
https://community.ptc.com/t5/Mathcad/Production-of-Matrices-Elements/m-p/676964
In the attachment, there is my problem sample, performed in Prime 10.0.0
Any assistance would be appreciated!


