Solved
You have three equations so you should solve for three variables.
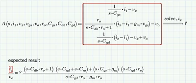
I am not sure what exactly you are looking for - could it be something like this:

Worksheet in Prime 5 format attached.
Enter your E-mail address. We'll send you an e-mail with instructions to reset your password.



