1-Visitor
March 9, 2021
Solved
Fourier series of a half symmetrical wave not working
- March 9, 2021
- 3 replies
- 6425 views
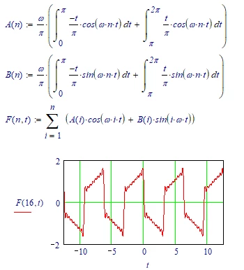
Hi all,
My job is to find and plot the Fourier series of the wave(figure 8.png) up to a sensible n value.
Problems:
1- When I try to compute the f(t) using the symbolic engine it gives me (Error 1 and 2.png)
2- When I try to plot this, I get another error something along the lines of plot failed because of 'complex and Nans' or something along those lines.
I have attached my file and used legacy symbolic engine but still does not work.


