Question
Function and vector inputs
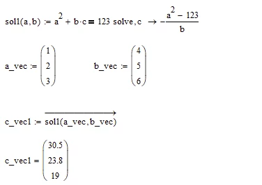
I want to solve a function based on column of vector inputs how can I achieve this? I want to define a specific function then solve it by providing a variable that contains values in form of columns.
I want to solve a function based on column of vector inputs how can I achieve this? I want to define a specific function then solve it by providing a variable that contains values in form of columns.
Enter your E-mail address. We'll send you an e-mail with instructions to reset your password.