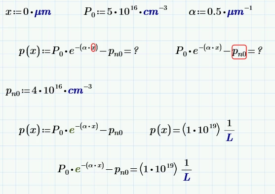
Function won't recognize a variable when it is put as a power of e, (e^x). x is "undefined"
I'm using MathCad 3.1 and for some reason x in my function is always labeled as undefined and I can't figure out why. I played around with labeling the variables and such but it won't work. Normal functions work just fine. Is MathCad not able to do this?
A solution to a similar problem was done in mathcad 3.1 that worked fine, I could just enter 0 for x but i need to be able to use dp/dx in other equations



