Solved
Generalized Integral
- October 18, 2018
- 2 replies
- 3678 views
Hello everyone!
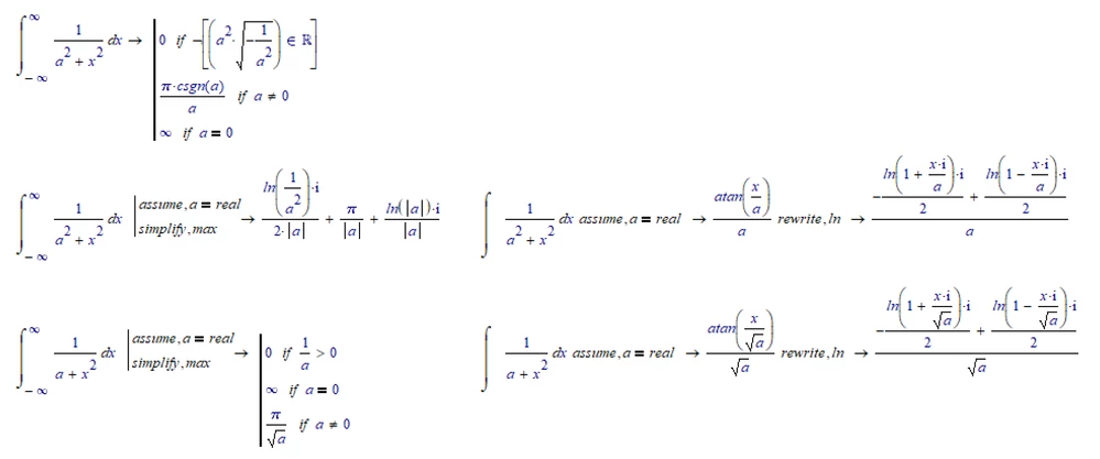
Why is the generalized integral, highlighted in the figure, null? when, instead, should it be 1?
Thank you very much
Greetings F. M.

The result of the indefinite integral with my mathcad 15 version, is the correct one.
Enter your E-mail address. We'll send you an e-mail with instructions to reset your password.