Solved
Correct.
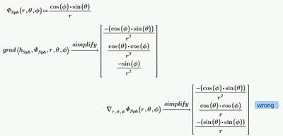
Look up the help and you will find that the gradient operator is defined as:

That is:
- It is defined for a vector function of any number of variables.
- There is no way to specify the coordinate system, it is (apparently) carthesian.
Success!
Luc
Enter your E-mail address. We'll send you an e-mail with instructions to reset your password.


