1-Visitor
February 11, 2025
Question
having trouble with my graphed functions.
- February 11, 2025
- 2 replies
- 545 views
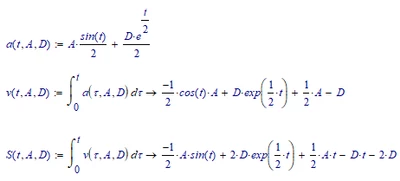
i attached the file, its quite the problem. i did the actual movement using the acceleration on solid works. but i cant get my Mathcad graphs to match. i just cant help but feel like its due to my lack of experience in Mathcad.

