Skip to main content
3-Newcomer
August 16, 2025
Question

Hello, i have problem, can someone help me with PTC Mathcad Prime 11.0.0.0?

  • August 16, 2025
  • 4 replies
  • 561 views

1.png

4 replies

24-Ruby III
August 17, 2025

See how operators work - "Conditional Operators" from the "Help Center": https://support.ptc.com/help/mathcad/r10.0/en/index.html#page/PTC_Mathcad_Help/conditional_operators.html 

24-Ruby III
August 18, 2025

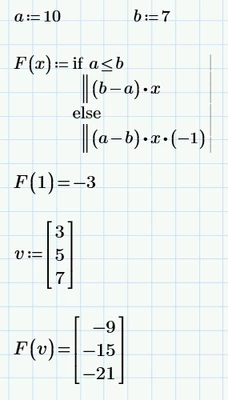
Hi,

you have to define else branch for if command. See below.

MartinHanak_0-1755497384515.png

Next time ... please upload your mcdx file.

 

19-Tanzanite
August 25, 2025

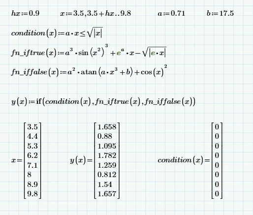
Here's an alternative approach (notice that, for the x-values you use, the condition is always false):

 

condition.png

 

Catalina
Community Moderator
August 28, 2025

Hi @DV_13990037,

I wanted to see if you got the help you needed.

If so, please mark the appropriate reply as the Accepted Solution or please feel free to detail in a reply what has helped you and mark it as the Accepted Solution. It will help other members who may have the same question.

Of course, if you have more to share on your issue, please pursue the conversation.

Thanks,

Catalina | PTC Community Moderator