Hello, I nee help with solving matrix equations
Hello everyone,
FIrst of all, I am very pleased to be on this forum.
The reason I came here is to ask about solving equations with Mathcad.
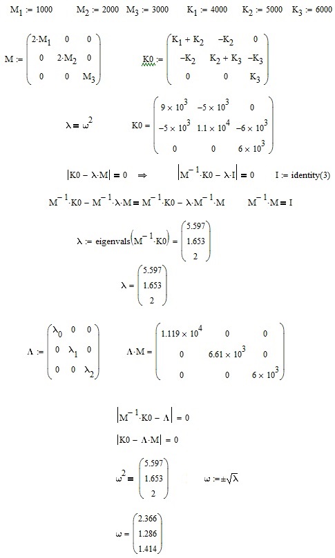
I have an assignment where I have to determine the three cicrular frequencies and periods of a free vibration (EQ. resistant engineering).
the way I am trying to do this is using the lateral stiffness and mass matrices, [K] and [M]. In order to find the frequencies mentioned above I used the following equation:
det [K - omega^2*M] = 0. My question is, how can I solve this equation using Mathcad? the mass and stiffness matrices are the size of 3x3. I am looking to find the three omega^2 values.
this is what I have so far, but I am sure it is not right, because no omega should be negative.
Thank you for your time and help,
Sincerely,
Aron

