Skip to main content
1-Visitor
April 14, 2025
Question

Help me to solve higher order differential

  • April 14, 2025
  • 2 replies
  • 809 views

Hello PTC community,

Greetings,

I would like to d K(fx)/dfx=0 and find fx value. How can I do that?

UV_13265465_0-1744623209351.png

I have attached file also for reference.

Thanks in advance.

Regards

UV

2 replies

19-Tanzanite
April 14, 2025
1-Visitor
April 15, 2025

Hi Cornel,

Thank you for your time and response. It means a lot.

Regards

Utham

25-Diamond I
April 14, 2025

As Cornel already had shown, you may use the symbolic "solve" to get all solutions.

In case you are only interested in real valued solutions, you may use an appropriate "assume" modifier:

Werner_E_0-1744631318472.png

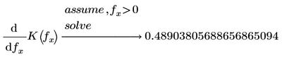
Or if you are interested in the positive solution only, you may use

Werner_E_1-1744631355421.png

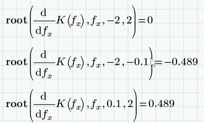
Apart from the symbolic "solve" you can also use a solve block with "find" or the "root" function.

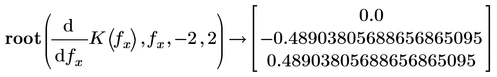
If you evaluate symbolically, you will get all (real valued) solutions

Werner_E_2-1744631422205.png

If you evaluate numerically, you get just one solution depending on the interval you provide

Werner_E_3-1744631484094.png

1-Visitor
April 15, 2025

Hi Werner,

 

Yes, exactly I was looking at real value. thanks for the keyword suggestion.

 

Regards,

Utham