Question
Help! Odesolve and Pdesolve questions
- April 22, 2017
- 2 replies
- 3794 views
I am new to using the Odesolve and Pdesolve functions; see attached Mathcad 15 file.
- Okay, I figured out that the independent variable of Odesolver must be x and cannot be another variable like t.
- I also discovered that the x range cannot be defined as a 2 row 1 column vector even though the Mathcad 11 manual indicates that is possible. This must have changed. However, it is possible in the Pdesolver.
- Okay, I discovered that the independent variable must be an integer in integer steps, so I cannot define times less than 1.
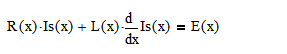
- As shown in the attached Mathcad 15 file, I can solve a simpler form of the transmission line equations for a buried line where V is assumed constant over the line with the Odesolver. I am able to include time (i.e. x) varying resistance and inductance of the buried line with a time varying driver E(x).

- In the solution to this ODE as shown in the attached, how do I determine the actual values of x (i.e., the actual time values).
- Now, when I try to solve the complete buried transmission line equations with the Pdesolver, I get the error that V is undefined as shown in the attached. Why?
with R(t) and L(t) the same as in the above example, and Gg(t), and Cg(t) similarly defined - And, as in 5 above, how do I determine the actual values of t if I ever get this solved?
Thanks much for any help,
Reg Curry

