Solved
help syntax
- December 26, 2019
- 1 reply
- 1637 views
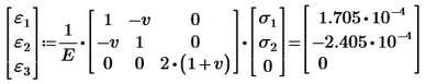
why can I not solve this ?
You are trying to assign a value to 0 (the third element in the vector to the left of the assignment ':='). That is not allowed. 0 should remain 0 ...
If you change that 0 to epsilon_sub_3 for example, it should work.

Success!
Luc
Enter your E-mail address. We'll send you an e-mail with instructions to reset your password.