Help to solve a non-linear ODE in mathCAD 15
- December 20, 2019
- 1 reply
- 10921 views
Hi,
I am attempting to dynamically model the behaviour of granular solids in a rotary kiln using known equations, however i am having trouble setting up the following ODEs in mathCAD for the model....can anyone help. I have included the key points i am trying to model in Mathcad.
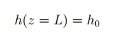
boundary condition:
where h0 is a fixed value (say 10% of the value of R).
From the above i'm looking to be able to determine the bed height (h) at any axial location (z) along the kiln tube.
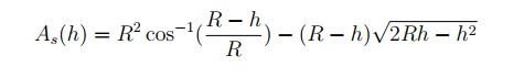
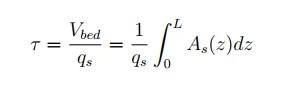
Subsequently equations for Cross section area of the granular bed and residence time of the granular transport through the kiln (as a function of bed depth (h)) follow on from this...
Cross section area:
Residence time
So essentially i am looking to use MatCAD to find the residence time (t), given fixed values for: n (rotation speed in rpm), R (radius of kiln in m), D (diameter of kiln in m), angle of repose of the material (beta), angle of inclination of the kiln (theta), mass flow rate (ms) , bulk density of material (rho), axial length of the kiln tube (z).
My initial attempt using ODEsolver block did not get that far and with limited success (see attached) and seems very temperamental depending on what values are used and cannot utilise units for the variables (hence why they are all unitless.

