Solved
Help with building a logic based on array of texts
- July 3, 2025
- 2 replies
- 403 views
Hello,
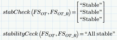
I have a Mathcad sheet which I am working on to find the factor of safety for block walls. The sheet will calculate and spit out a text "Stable", "Unstable" based on a comparison , which I have provided in the logic. What I request to have is a Mathcad prompt, that checks the array FS_OT to see how many "UNstable" are there. If so, it should send out a message saying "UnStable" and tell me at which level of the layer of blocks are unstable. Please help on this as I am not that pro level. My Mathcad version is Prime 10. This is not an error issue so no screenshots were provided.
Thank you very much





