1-Visitor
June 28, 2021
Question
Help with plotting function
- June 28, 2021
- 2 replies
- 1455 views
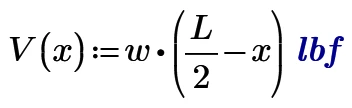
New to Mathcad. I am stuck at this for last 3 hours. I have a V as function of x, i defined x as an array now I want to plot V(x) on y axis vs x on x axis. It shows me errors like function is not defined and value must be function. Please see and help

