Skip to main content
1-Visitor
September 20, 2019
Question

Help with Scalar Value Error

  • September 20, 2019
  • 1 reply
  • 1119 views

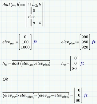
I am attempting to complete a comparison using values from a table and am getting a scalar value error. What do I need to do in order to get a column of values out of the attached. 

 

 

1 reply

25-Diamond I
September 20, 2019

I would suggest that you turn the calculation into a function and use vectorization!

B.png

For more help you should post the worksheet, not just a picture.