Solved
Help with Symbolic Expresions - Prime 6
- July 21, 2020
- 4 replies
- 7789 views
Hi everyone,
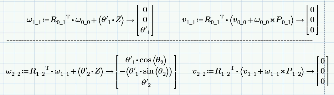
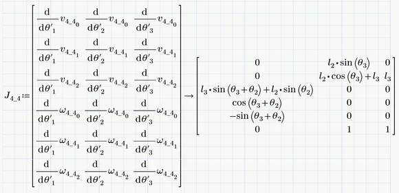
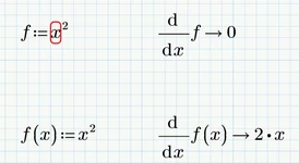
I am trying to work in an exported file from Mathcad 15 M050 to Prime 6.0
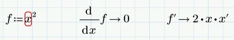
I am working with symbolic expressions where I used prime variables to define velocities of an angle. In Mathcad 15, I use CTRL+F7 to add the apostrophe to the variable, but in Prime 6.0 it doesn´t act the same way. I tried to use the one in the "Operators" menu, but it doesn´t operate the symbolic expression the same way.
If anyone has a possible solution, I will appreciate it. Thanks in advance.
I´ll add some images of part of my file, in Mathcad 15 and Prime 6.0

