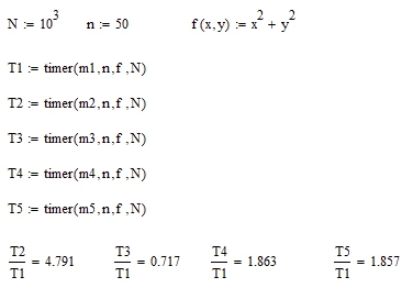
You should have a good reason to forego the simplicity of using the “matrix” function (e.g., the function is quite complex and calculating a single value takes a long time).
Here is the option using nested loops. The last method (M3) is slightly more efficient in Mathcad because the entire memory for the matrix is allocated right from the start (since the lower right element is calculated and assigned first).

BTW, using the simple straightforward way is not exactly "double computational effort" because of the diagonal elements 😉
To create all n2 matrix elements, the function has to be called n*(n+1)/2 times which is more than n2/2 times.
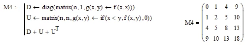
EDIT: Here is a playful method that assembles the matrix from the diagonal elements and the upper triangular matrix.

and here the same as a one-liner
