How do I solve trigonometric equations with Mathcad 15?
Hello,
I would like to be able to solve trigonometric equations with Mathcad 15, but I can't.
Example:
What is x if cos(x) ≤ 1/2?
Can someone tell me how to do this?
Thanks in advance.
Richard
Hello,
I would like to be able to solve trigonometric equations with Mathcad 15, but I can't.
Example:
What is x if cos(x) ≤ 1/2?
Can someone tell me how to do this?
Thanks in advance.
Richard
@ptc-4127093 wrote:
Hello,
I would like to be able to solve trigonometric equations with Mathcad 15, but I can't.
Example:
What is x if cos(x) ≤ 1/2?
What you show is not an equation but rather an inequation 😉
Mathcad 15 can happily solve the equation and you may use the "assume" modifier to limit the result to a certain range

but MC15 fails at the inequation. Adding "assume" constraints doe not help. The error message is "No solution found".

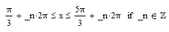
We would expect something like

but Mathcads symbolic engine seems not to be capable enough to come up with this answer.
This does not mean that Mathcad can't solve inequations at all, simply that yours look to be too tough for Mathcad.

BTW, Wolfram Alpha does a better job:

Enter your E-mail address. We'll send you an e-mail with instructions to reset your password.