Solved
How to calculate limit of a multivariable function?
Hello,
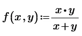
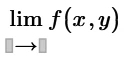
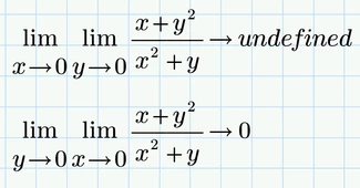
How to enter and then how to calculate such kind of limits in Mathcad Prime?



Hello,
How to enter and then how to calculate such kind of limits in Mathcad Prime?




Enter your E-mail address. We'll send you an e-mail with instructions to reset your password.