Skip to main content

2 replies

21-Topaz II
July 7, 2025
25-Diamond I
July 7, 2025

What exactly do you want to achieve?
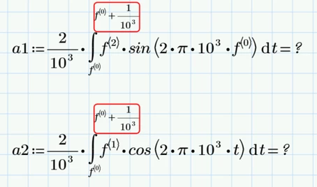
The integrals you give look a bit strange and with a1 you would only be integrating a constant, as the integration variable does not appear in the integrand at all.
And is this f<0>+10^-3 in the integration limit perhaps just a tentative attempt at piecewise numerical integration?
If you just want to integrate the functions that result from the second and third columns of the matrix f, you can use the functions from Terry's sheet directly.

Werner_E_0-1751918365571.png