How to collect all variables at one side and constant on the other side
Hello,
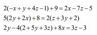
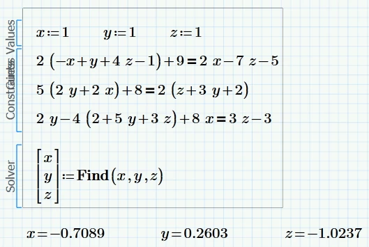
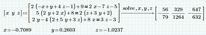
I have a system of equations, and i would like to collect the variables (and its coefficients) at the left side, and all constants on the right side.
Is there a way to accomplish this? I have tried the collect and simplify commands, but that couldn't do it...

