4-Participant
March 16, 2023
Question
How to control precision of explicit, ALL symbolic?
- March 16, 2023
- 1 reply
- 4765 views
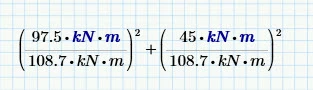
I am trying to display the results of a calculation using MathCAD PRIME 8's symbolics feature "explicit, ALL"
The results are shown accurate to with 14 decimal places - which is way too precis for my purposes. I have been unable to fina a way to contol the precision of this display - Math Formatting appears to apply only to the final result.
I attach two screenshots, one showing what I currently get from MathCAD and the other showing what I want.
Does anyone know how to achieve this?
Thanks in advance!
Andrew

