Solved
How to display a point on 3D Plot in Mathcad Prime?
- May 12, 2023
- 3 replies
- 3075 views
Hello,
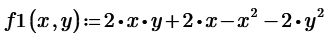
For 2D Plot:




For 3D Plot:

![]()

I want to plot the point f1(2,1)=2, so the point where x=2 and y=1 on the 3D plot, and to display the point as it is showed in 2D Plot.
Is it possible to do this?
Mathcad Prime 8 file attached.
Thank you.


