Solved
How to draw rectangle and triangle from dots?
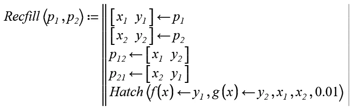
Hello,
1. Given the below points: (x1,y1), (x1,y2), (x2,y1), (x2,y2), how to make a rectangle in Mathcad Prime based on this points?

2. Given the below points: (x1,y1), (x2,y1), (x3,y2), how to make a triangle in Mathcad Prime based on this points?






