Solved
OMG!!
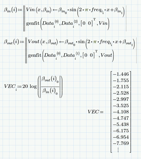
So the only problem was that the index i not only affects the data but also the function used for genfit!?
Then this should help

Enter your E-mail address. We'll send you an e-mail with instructions to reset your password.
OMG!!
So the only problem was that the index i not only affects the data but also the function used for genfit!?
Then this should help

Enter your E-mail address. We'll send you an e-mail with instructions to reset your password.