There is no difference between "find" and "Find" - you may use both, they are equivalent.
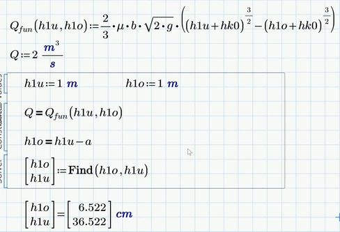
You attempt fails because when you defined the guess value you typed h10 (with a zero as last character) and not h1o (with a lower case letter o).
EDIT: Just noticed that it was my fault - the picture I posted is the proof 😉
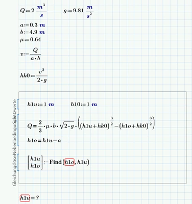
Not sure why the pic does not show the error - presumably because while playing with the sheet i had defined h1o somewhere above and this values was then used as the guess value (the guess value should, but must not be defined in the solve block).
You seem to have worked from the first version of my answer and there was a failure concerning the order of the variables h1u and h1o in the result vector. I corrected this in the meantime and also attached the Prime 10 sheet.
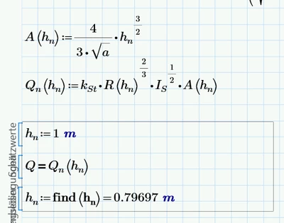
The difference between what you did and the example of mine you show is that the name of the variable/constant (Q) is different from the name of the function (Q.n). It would be possible for a function and a variable to coexist using the same name if you use different labels for them, but this makes subsequent usage of these names unnecessary cumbersome.
Avoiding equal names for different thing also was the reason I called the function q (lowercase) so I could use the expression q(hu)-Q in the "root" function without having care about applying correct labels.
You could do something similar by defining a function for the "Q-value" in two variables, but for the reasons explained above you should use a different name:

Concerning q=1m^3/s: The problem is not that Mathcad for some reason is not capable enough to find a solution but that no solution (at least no solution with real valued h1u and h1o) exists where the difference h1u-h10=a (= 30 cm).
You probably had not seen my edited answer where I made Q dependent on h1u only (function q) and showed that we only get real values for q if h1u is larger than a-hk0 and q start at approx. 1,5 m^3/s and gets larger with increasing values for h1u.
If you replace the 0,3 m for a by 0,2 m, you get an answer even for Q=1m^3/s.
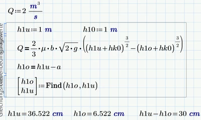
Corrected Prime 10 sheet attached