Solved
how to finish the input for Euler's formula expression
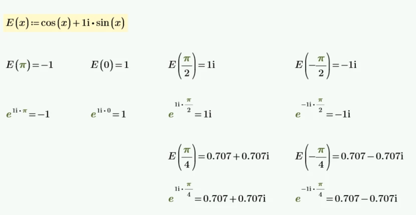
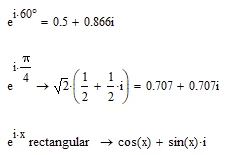
Say, if I want to define the expression of Euler's formula below in Mathcad, how should I finish the input for that?

Say, if I want to define the expression of Euler's formula below in Mathcad, how should I finish the input for that?

Now I've opened up my laptop ...

Stuart
Enter your E-mail address. We'll send you an e-mail with instructions to reset your password.