Solved
How to generate an output table
- December 9, 2025
- 2 replies
- 314 views
Hello,
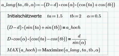
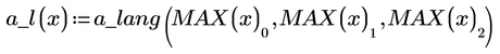
beginner here! Can someone please help and tell me how I can generate a table or vector for my values a_hoch and a_l? I want Mathcad to calculate a_l dependent on a_hoch for different a_hoch. Is there any possibility Mathcad can do that so that I dont have to type everything individually?
So in the picture a_hoch is 460. But I also want solutions for 461, 462, 463, and so on...

I hope someone can help me. Thank You in advance!


