Solved
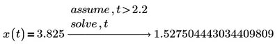
Actually unfortunately the symbolic "solve" very often ignores an "assume" modifier, but I am surprised that it states "no solution found" instead of just returning the solution 1.5... which it also finds without "assume".
But never mind, you don't need an "exact" symbolic solution anyway, just a numeric value. So its better to use a numeric method to get it.
Prime offers the "root" function which can be used in two ways (either by providing an interval or by providing a guess value) and a solve block to do the job. The picture shows the three ways to obtain the desired solution

Enter your E-mail address. We'll send you an e-mail with instructions to reset your password.



